米兰电竞

行业知识

蒸汽流量计的使用测量方法

2024-05-31 09:05:21 米兰电竞-最专业的电子竞技门户

蒸汽流量计的使用测量方法

蒸汽相变对流量测量的影响

水蒸气顾名思义是气相,但在一定条件下会变成液相;饱和水蒸气中的水滴本是液相,但在一定条件会被蒸发变成气相。这是蒸汽质量流量测则量中常常碰到的汽水相变。

在推导式质量流量计中,关键环节是蒸汽密度的求取,蒸汽相变发生后,就使得通常由蒸汽温度压力求取其密度的关系发生变化,因此必须认真对待。

(1)气相变液相

过热蒸汽在经过长距离输送后,往往会因为热量损失、温度降低,使其从过热状态进入饱和状态,甚至部分蒸汽冷凝出现相变而变成水滴。这些水滴对流量测量结果究竟有多大影响,下面举例说明。

有一常用压力为1.0MPa的过热蒸汽,其流量为qm,假设经长距离输送后有10%qm冷凝成水滴,令其为qml,而保持气态的部分为qms,从定义知,此时湿蒸汽的干度为

图片关键词

由于采用温压补偿,所以按照临界饱和状态查表,得到此时的蒸汽(干部分)密度为 ρs=5.6808kg/m³,查水密度表知此时水滴的密度为ρl=882.47kg/m3,显然水滴与蒸汽干部分的体积流量为

图片关键词

在该例中,Rv=99.93%,由此可见,在湿蒸汽中,水滴所占的体积比可忽略不计。

①选用涡街流量计时湿度对测量结果的影响

涡街流量计的输出仅与流过测量管的流体流速成正比,在测量湿饱和蒸汽时,水滴对涡街流量计输出的影响可忽略,故可认为涡街流量计的输出完全是由湿蒸汽的干部分所引起。而干部分的密度,无论是压力补偿或温度补偿,都可较精确地查出。

蒸汽计量的结果往往作为供需双方经济结算的依据,如果双方约定按蒸汽干部分结算费用,冷凝水不收费,则在本例中相变对测量的影响微不足道,可以忽略。如果冷凝水也按照蒸汽一样收费,则涡街流量计的计量结果偏低值为1-X。

②选用孔板流量计时湿度对测量结果的影响

从GB/T2624-2006标准知,孔板流量计测量蒸汽质量流量时有式(3.1)。

当过热蒸汽热量损失而脱离过热状态后,只可能出现两种情况。一种是进入临界饱和状态,另一种是进入过饱和状态。如果进入临界饱和状态,从理论上讲,流量计不会因此而增大误差,因为在式(3.1)中,根据蒸汽压力查出的ρ1与实际密度是相符的。如果进入过饱和状态,情况就复杂了。

一般认为,蒸汽干度较高(X≥95%)时流体表现为均相流动。温压补偿可按通常方法进行;但出现一定误差。在式(3.1) 中,ρ1是实际流体湿饱和蒸汽的密度,其值比临界饱和状态的大,而且干度越低密度越大。而人们根据压力查出的是临界饱和状态的密度,比实际密度小,所以质量流量计算结果出现负误差。在湿度不进行测量的情况下,X是未知数,因此,测量结果偏低多少是个未知数。

在蒸汽干度较低(X≤95%)时,管道中的流体出现分层流动,产生误差更大。

(2)湿饱和蒸汽变成过热蒸汽

湿饱和蒸汽变成过热蒸汽,一般发生在湿饱和蒸汽突然较大幅度减压,流体出现绝热膨胀时。

①相变过程

湿饱和蒸汽中的蒸汽和水滴,处于气液相平衡状态,在压力突然降低而低于平衡压力时,水滴部分蒸发,同时从液相和气相中吸收汽化热,使气液相温度降低。如果温度降低得不多或蒸发前湿度较高,都会使温度迅速降低到与新的压力所对应的饱和温度,建立新的平衡。这时蒸汽仍为湿饱和蒸汽。如果压力降低得很多或蒸发前湿度较低,则因水滴蒸发而使温度降低后仍高于新的压力所对应的饱和温度,则蒸汽变为过热状态。

② 蒸发对流量测量的影响

a.上述蒸发发生后得到的两种结果,前一种对补偿无影响,仅仅是蒸汽中的干部分增加,干度相应增大。

b.如果蒸发发生后,蒸汽变为过热状态,而流量计又恰巧安装在减压之后的管道上。这时对流量计的影响分以下三种情况。

设计时已经考虑到蒸汽变为过热状态,或处于何种状态难以确定,或有时是过热状态有时是饱和状态,所以采用温压补偿,则上述相变对测量结果无影响。

设计时按饱和蒸汽考虑,而且采用压力补偿,则上述相变将带来较小的误差,即过热蒸汽温度同饱和温度之差所对应的密度差造成的补偿误差。

设计时按饱和蒸汽考虑,但采用温度补偿,则将过热蒸汽温度当作饱和温度去查密度表。一般会引起较大的误差。

③ 举例。有一化工厂,锅炉房供饱和蒸汽,并根据各用户中蒸汽压力要求值最高的一个决定锅炉供汽压力为1.0MPa,多数用户在蒸汽总管进装置时先经减压阀减压。现从图3.13 所示的一个实例着手进行分析。

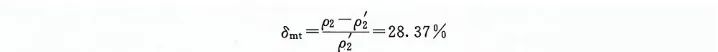
用作进入装置蒸汽计量的涡街流量计安装在减压(稳压)阀之后。原设计按饱和蒸汽考虑,采用温度补偿。经减压,蒸汽总管带入的水滴蒸发完后汽温仍高于饱和温度,呈过热状态,现场采集到的数据如图所示。

图片关键词

这时流量二次表按照所测量的温度tz=162.4℃查饱和蒸汽密度表,得ρ2=3.4528kg/m3,而按照tz 和pz两个测量值查过热蒸汽密度表,得密度ρ2=2.6897kg/m3,所以质量流量计算结果出现28.37%的误差,即

图片关键词


在本例中如果采用压力补偿,则根据p2=0.42MPa的信号查饱和蒸汽密度表,应得到ρ=2.7761kg/m³,则补偿误差为

图片关键词

④解决办法

a.将总蒸汽流量计安装在减压阀之前。由于上述蒸汽未经减压时,确属饱和蒸汽,所以,将流量计安装在减压阀之前,按饱和蒸汽补偿方法处理,可保证测量精确度。

b.如果流量计只能安装在减压阀后面,则可增装一台压力变送器,进行温压补偿。


米兰电竞
产品
新闻
联系